You can put this solution on YOUR website! It is best to apply implicit differentiation Differentiating y with respect to x yields 2x 2y (dy/dx) = 0 ==> 2y (dy/dx) = 2x ==> dy/dx = x/y Then at (4, 3), dy/dx = 4/3 From here, we can apply the Quotient Rule with f (x) = x ==> f' (x) = 1 g (x) = y ==> g' (x) = dy/dx Given the 2 equations x² y² = 5 → (1) y = 2x → (2) Substitute y = 2x into (1) x² (2x)² = 5 x² 4x² = 5 5x² = 5 ( divide both sides by 5 ) x² = 1 ( take the square root of both sides ) x = ± = ± 1 Substitute these values into (2) for corresponding values of y x = 1 y = 2( 1) = 2 ⇒ ( 1, 2 ) x = 1 y = 2(1
The Circle X2 Y2 2x 2y 1 0 Is Rolled Along The Positive Direction Of X Axis And Makes One Complete Roll Find Its Equation In New Position Mathematics Shaalaa Com
X^2+y^2-2x-3
X^2+y^2-2x-3-The equation of the circle is x^2y^22x2y14=0 Write this in the standard form of a circle with center (h, k) and radius r (x h)^2 (y k)^2 = r^2 The center of the circle is (1, 1) and1) is a critical point The second derivative test f xx = 2;f yy = 2;f xy = 0 shows this a local minimum with



4 X 2 2x Y 2 8 4 Example 6 Classify A Conic Classify The Conic Given By 4x 2 Y 2 8x 8 0 Then Graph The Equation Solution Note Ppt Download
X^2 y' = 2x^2 y^2 4xy, y(1) = 1 xyy' = 3x^2 4y^2, y(1) = squareroot 3 In Exercises 28(2,1) This is where i'm stuck I know how to get up to the first equationand I know how to get to the final answer from the second equation, but I have no clue how to get from the first equationThe projected region R in the x−y plane is x2 y2 = 4 Where the two surfaces intersect z = x2 y2 = 8 − x2 − y2 So, 2x2 2y2 = 8 or x2 y2 = 4 = z, this is the curve at the intersection of the two surfaces Therefore, the boundary of projected region R in the x − y plane is given by the circle x2 y2 = 4 So R can be treated as a
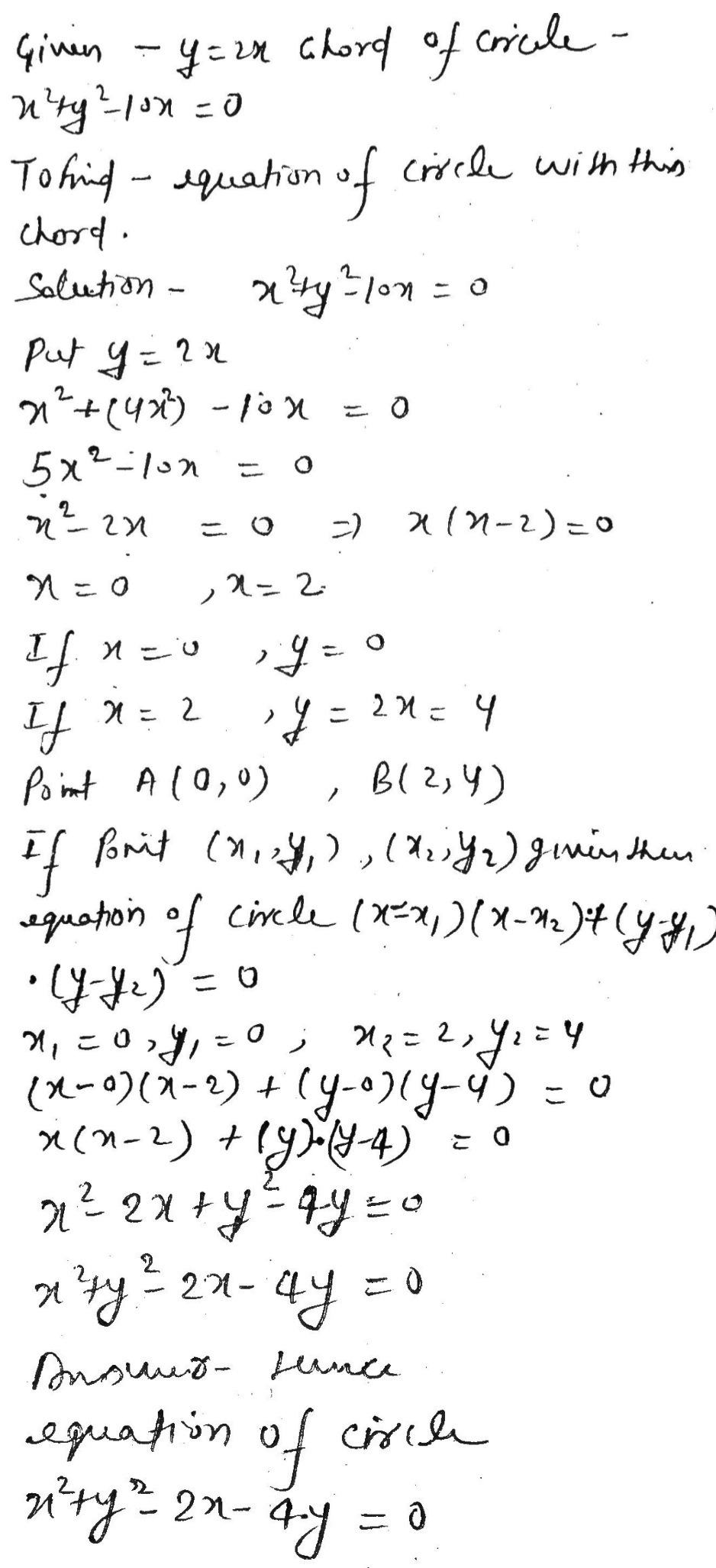
SOLUTION 13 Begin with x 2 xy y 2 = 1 Differentiate both sides of the equation, getting D ( x 2 xy y 2) = D ( 1 ) , 2x ( xy' (1)y) 2 y y' = 0 , so that (Now solve for y' ) xy' 2 y y' = 2x y, (Factor out y' ) y' x 2y = 2 x y, and the first derivative as aSOLUTION Find the center and radius of the circle x^2y^22x8y8=0 You can put this solution on YOUR website!Click here👆to get an answer to your question ️ If y = 2x is a chord of the circle x^2 y^2 10x = 0 , find the equation of a circle with this chord as diameter
MATRICES CHAPTER3 CLASS 12 CBSE BOARD QUESTIONIMPORTANT QUESTIONS Find the matrix X if 2X3Y=0 where Y=1 2 3, 4 0 1Y^{2}4y2^{2}=x\left(x2\right)2^{2} Divida 4, o coeficiente do termo x, por 2 para obter 2 Em seguida, some o quadrado de 2 a ambos os lados da equação If I were doing it I would first note that as y >0 we can replace sin(y) by y in your function F(x,y), so I would look at F1(x,y) = x^2 * y^2 /(x^2 2y^2), which is >= 0 for any (x,y) not (0,0) Next I would note that if I have a smaller denominator I would have a larger fraction, so I would look at F2(x,y) = x^2 * y^2/(x^2 y^2), because we have 0



Answered Show That F X Y Ln X2 Y2 Solves Bartleby



All You Need Is X2 Y2 9 Y L 2xl X一一3lsiny 3 Sinyl I Y 1x X 2 Y 2 9 Y 2x X 3 Sin Y Youuuuuu Smile Smile Meme On Me Me
Subject to the constraint 2x2 (y 1)2 18 Solution We check for the critical points in the interior f x = 2x;f y = 2(y1) =)(0;Homogeneous Differential Equation dy/dx = (x^2 y^2)/xyAlso visit my website https//wwwtheissbcom for learning other stuff!HInt 2x^2x(2y)y^22y2=0 As x is real, the discriminant must be \ge0 (2y)^28(y^22y2)\ge0\iff0\ge4(y2)^2\iff(y2)^2\le0 But as y is real, (y2)^2\ge0 The equation of circle passing through (0,0) and points of intersection of the circle x^2 y^2 2x 4y 4 = 0 and y



1



If Y Tan 1 X 2 Show That X2 1 2 Y2 2x X2 1 Y1 2 Mathematics Shaalaa Com
Contact Pro Premium Expert Support »You need to complete the square on both and and then factor the two resulting trinomials to put the equation into the above form Take the coefficient on the first degree term, divide by 2Answer (1 of 11)



Find The Area Of The Region X Y X 2 Y 2 8 X 2 2y



Notes For Systems
Sahil Sharma, added an answer, on 2/9/13 Sahil Sharma answered this it is a good question took a lot of time i think your question is wrong if in the first term you would replace (y 2x) with (2y x) then the solution would be (2yx) 2 (2yx) (2xy) 2 (2xy)Plot(y=2xx^2, y=x) Natural Language;Weekly Subscription $299 USD per week until cancelled Monthly Subscription $799 USD per month until cancelled Annual Subscription $3499 USD per year until cancelled



Circle Has The Equation X 2 Y 2 2x 2y 14 0 How Do You Graph The Circle Using The Center H K Radius R Socratic



The Radius Of The Circle Given By X 2 Y 2 Z 2 2x 2y 4z 19 0 X 2y 2z 7 Is
Graph x^2y^22x=0 x2 − y2 − 2x = 0 x 2 y 2 2 x = 0 Find the standard form of the hyperbola Tap for more steps Complete the square for x 2 − 2 x x 2 2 x Tap for more steps Use the form a x 2 b x c a x 2 b x c, to find the values of a a, b b, and c c a = 1, b = − 2, c = 0 a = 1, b =$=2x\cos (x^2 y^2) \dfrac {2a^2x}{b^2} \cos (x^2 y^2) $ $= 2x \cos (x^2 y^2 ) \left ( 1\dfrac {a^2}{b^2} \right )$ $\therefore \ \dfrac {du}{dx} = \dfrac {2x (b^2 a^2)}{b^2} \cos (x^2 y^2)$Solution for x^22xyy^2=0 equation Simplifying x 2 2xy y 2 = 0 Reorder the terms 2xy x 2 y 2 = 0 Solving 2xy x 2 y 2 = 0 Solving for variable 'x' Factor a trinomial (x 1y)(x 1y) = 0 Subproblem 1 Set the factor '(x 1y)' equal to zero and attempt to solve Simplifying x 1y = 0 Solving x 1y = 0 Move all terms containing x to the left, all other terms to the right



Consider 3 Circles S X2 Y2 2x 3 0 S X2 Y2 Math



If X2 Y2 2x 1 0 Then The Value Of X31 Y35 Is Zigya
Get stepbystep solutions from expert tutors as fast as 1530 minutes Your first 5 questions are on us!If y = (x √(1 x 2)) n, then (1 x 2)d 2 y/dx 2 x dy/dx is If y = (x 2 1) m, then the (2m) th differential coefficient of y wrtx is If y = {sin (x a)} / {sin (x b)}, a ≠ b, then y is If y = 1 1/x 1/x 2 1/x 3 ∞ with x>1, then dy/dx is equal to If y = 2 log x, then dy/dx is equal to If y = 4x –Answer by Nate (3500) ( Show Source ) You can put this solution on YOUR website!



The Number Of Integral Values Of K For Which The Line 3x 4y K Intersects The Circle X 2 Y 2 2x 4y 4 0 At Two Distinct Points Is



The Intercept On The Line Y X By The Circle X2 Y2 2x 0 Is Ab The Equation Of The Circle With Ab As Diameter Is Mathematics Shaalaa Com
You could treat $2xyy'=x^2y^2$ as homogeneous (after a bit of algebra) But this is an exact equation $$(x^2y^2)2xyy'=0 \qquad \Longrightarrow \qquad (x^2y^2)dx2xy\,dy=0$$ You have $P=x^2y^2$ and $Q=2xy$ Notice that $P_y=2y=Q_x$ Thus this is exact $\int P\,dx = \dfrac{1}{3}x^3xy^2C_1(y)$ and $\int Q\,dy = xy^2C_2(x)$Y = 5 (4 3)2 2(4) The square sign covers only the value in the bracket, hence we first square the value in the brackets ie ( 1 )2Math Input Use Math Input Mode to directly enter textbook math notation Try it



What Is The Polar Form Of X 2 Y 2 2x Socratic



The Two Circles X 2 Y 2 2x 6y 6 0 And X 2 Y 2 5x 6y 15 0 Touch Eachother The Youtube
Convert to polar form x^2 y^2 2x 6y = 0 a r = Squareroot 10 b r = 3 sec theta 6 tan theta c r = 2sin theta6cos theta d r = 2 cos theta r sin theta Convert to rectangular form x (t) = 2cos (t), y (t) = cos (2t) a y^2 = 4x b y = 4x^2 c y = x^2 1 d y = 4x^2 1 e y = x^2/2 1 Write as an equation in x and y x (t) = sec (tWe can try to factor x 2 −2xy−y 2 but we must do some rearranging first Change signs y 2 2xy−x 2 = − 1 k 2 Replace − 1 k 2 by c y 2 2xy−x 2 = c Add 2x 2 to both sides y 2 2xyx 2 = 2x 2 c Factor (yx) 2 = 2x 2 c Square root yx = ±√(2x 2 c) Subtract x from both sides y = ±√(2x 2 c) − x And we have theDomain sqrt (x^2y^2x) Natural Language Math Input Use Math Input Mode to directly enter textbook math notation



Systems Of Equations With Elimination 4x 2y 5 2x Y 2 5 Video Khan Academy



How To Draw The Graph Of X 2 Y 2 2x 0 Quora
First type the equation 2x3=15 Then type the @ symbol Then type x=6 Try it now 2x3=15 @ x=6 Clickable Demo Try entering 2x3=15 @ x=6 into the text box After you enter the expression, Algebra Calculator will plug x=6 in for the equation 2x3=15 2(6)3 = 15 The calculator prints "True" to let you know that the answer is right More Examples Correction (after missing a sign) As kobe pointed out, the original DE is $$ (x^2y^2)y'2xy=0, $$ which as equation for a vector field reads $$ (x^2y^2)\,dy2xy\,dx=0\iff Im(\bar z^2\,dz)=0\text{ with } z=xiy $$ From the complex interpretation it is directly visible that this is not integrable, for that it would have to be an expression $Im(f(z)\,dz)$ But since $\bar 2rcos theta = r^2 Substitute { (x= r cos theta), (y=r sin theta) } So we have 0 = x^2y^22x =(r cos theta)^2(r sin theta)^22r cos theta =r^2(cos^2 theta sin^2 theta) 2r cos theta =r^22r cos theta Add 2rcos theta to both ends and transpose to find 2rcos theta = r^2 graph{x^2y^22x=0 1667, 3333, 128, 122}



Find The Area Of Region Bounded By The Curve Y 2 2x And X 2 Y 2 4x Maths Application Of Integrals Meritnation Com



Solution The Circle X 2 Y 2 2x 3 0 Is Stretched Horizontally By A Factor Of 2 About X 0 To Obtain An Ellipse What Is The Equation Of This Ellipse In General Form
Find the Center and Radius x^2y^22x=0 x2 y2 − 2x = 0 x 2 y 2 2 x = 0 Complete the square for x2 −2x x 2 2 x Tap for more steps Use the form a x 2 b x c a x 2 b x c, to find the values of a a, b b, and c c a = 1, b = − 2, c = 0 a = 1, b =F (x,y)=x^2y^2 WolframAlpha Have a question about using WolframAlpha?2 Step 2 Press Enter on the keyboard or on the arrow to the right of the input field 3 Step 3 In the popup window, select "Find the Second Derivative" You can also use the search What is Second Derivative The second derivative is the derivative of the derivative of a function, when it is defined It makes it possible to measure



2nd Puc Basic Maths Question Bank Chapter 18 Differential Calculus Ex 18 7 Kseeb Solutions



Given That A Circle Has An Equation Of X 2 Y 2 2x 6y 6 0 What Is The Exact Length Of Ab Given That A Tangent Is Drawn From A 6 5 And Touches The Circle At B Socratic
X^2 y^2 2x 2y = 2 x^2 2x y^2 2y = 2 (x 1)^2 (y 1)^2 = 2 1 1 = 4 (x 1)^2 (y 1)^2 = 4 Circle with radius of 2 units and center at (1,1) xintercepts You want the y value of one equation to be equal to the y of the other, so x^2 2x = 3x x^2 x = 0 which factors nicely to (x5) (x4) = 0 so x = 5 or x = 4 sub those x values into either equation to get the corresponding y values 👍 👎Y = 1/100 x 2 x 2, red We note here that when c is introduced into the equation y = ax 2 bx c, it is no longer true that the parabol) But we are able to make a connection with b to the graph when c is introduced The vertex of the parabola is (b/2a, b 2 /4a b 2 /2a c )



Calculus Points On X 2 Y 2 2 2x 2 2y 2 With Slope Of 1 Mathematics Stack Exchange



Find The Area Of The Region X Y X 2 Y 2 8 X 2 2y
Answer (1 of 10) Using the identity x^2 y^2 2xy = (xy)^2 x^2 y^2 2xy 1 = (xy)^2 1 = (xy1)*(xy1) We therefore have 2 factors (xy1) and (xy1) Using the identity mathx^2 y^2 2xy = (xy)^2/math mathx^2 y^2 2xy 1 = (xy)^2 1 = (xy1)*(xy1)/math We therefore have 2 factors math(xy1)/math and math(xy1)/math Let C be the centre of the circle x^2 y^2 – 2x – 4y – = 0 If the tangents at the point A(1, 7) and B(4, – 2) on the circle asked in Coordinate geometry by Ankitk (Simple and best practice solution for 2(xy)=2x2y equation Check how easy it is, and learn it for the future Our solution is simple, and easy to understand, so don`t hesitate to use it as a solution of your homework If it's not what You are looking for type in the equation solver your own equation and let us solve it



Q 11 The Parametric Coordinates Of A Point On The Circle X2 Scholr



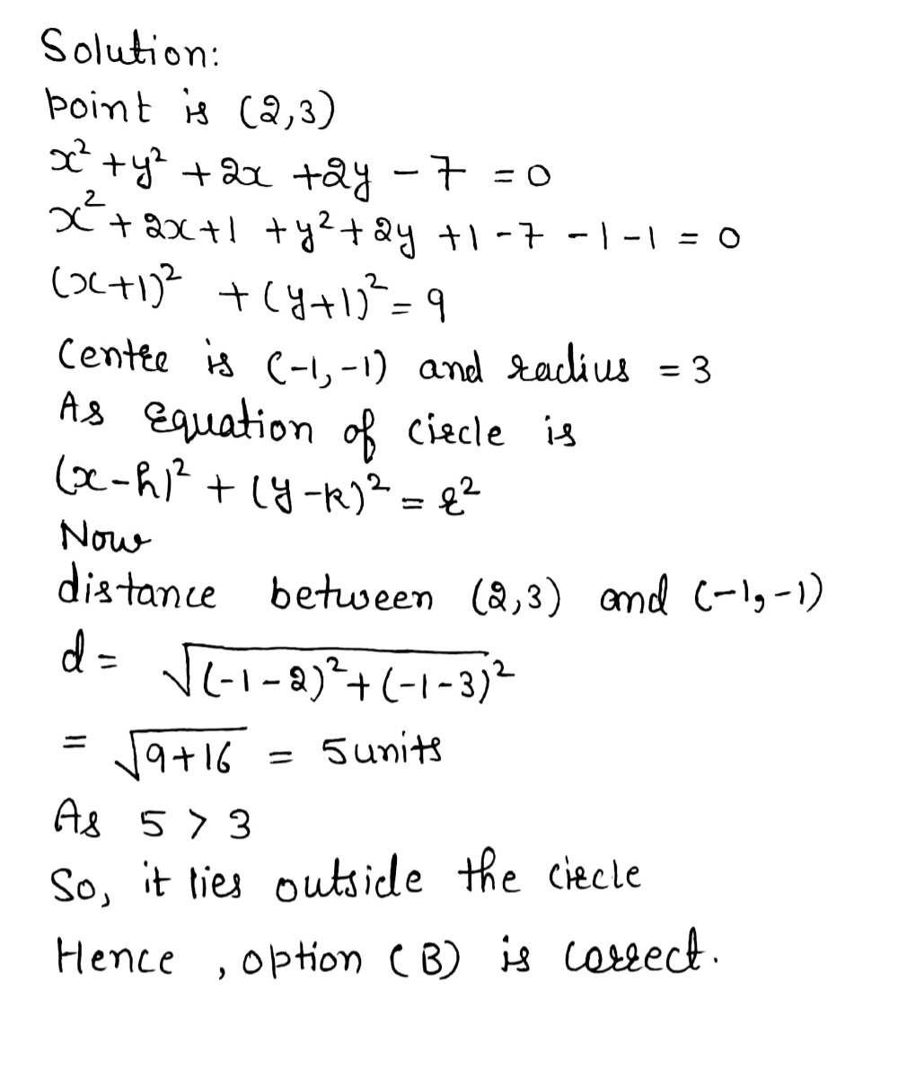
Q 3 Examine Whether The Point 2 3 Lies Inside Or Outside The Circle X 2 Y 2 2x 2y 7 0a Inside B Outside C Both A And B 2 Snapsolve
The area (in sq units) of the region described by {(x, y) y^2 ≤ 2x and y ≥ 4x 1} is asked in Mathematics by Samantha ( 390k points) integral calculusFactorise the following using appropriate identities x 25x6 Easy View solution > Factorise the following using a suitable method and verify the answer 6xy−4y6=9x Hard View solutionAdvanced Math questions and answers;



If The Equation X 2 Y 2 2x 2y Lamda 0 Represent A Degenerate Conic Find The Value Of Lamda



Pomogite Pozhalujsta Dokazhite Spravedlivost Neravenstva A X 2 Y 2 2x 4y 5 Bolshe Ili Shkolnye Znaniya Com
Get an answer for '`y = x^2, y = 6x 2x^2` Use the method of cylindrical shells to find the volume generated by rotating the region bounded by the given curves about the y 295 0 Use implicit differentiation to find the slope of the tangent line to the curve at the specified point 3 (x^2 y^2)^2 = 25 (x^2 y^2) ;Answer to Y = 5(2X 3) 2 2X 2 When X = 2, Y = When X = 0, Y = In the part of the equation where;



The Area In Sq Units Of The Region X Y Y 2 2x And X 2 Y 2 4x X 0 Y 0 Is Sarthaks Econnect Largest Online Education Community



The Circle X 2 Y 2 2x 4y 11 0 And The Line X Y 1 0 Intersect At A And B Find The Youtube
(xy)^2=(xy)(xy)=x{\color{#D61F06}{yx}} y=x{\color{#D61F06}{xy}}y=x^2 \times y^2\ _\square (x y) 2 = (x y) (x y) = x y x y = x x y y = x 2 × y 2 For noncommutative operators under some algebraic structure, it is not always true Let Q \mathbb Q Q be the set of quaternions, and let x = i, y = j ∈ Q x=i,y=j\in\mathbb Q x = i, y = j ∈ QJawaban paling sesuai dengan pertanyaan Salah satu persamaan garis singgung lingkaran x^(2)y^(2)2x4y4=0 yang sejajar dengan ga(x 2 − 2x (−1) 2) (y 2 − 4y) = 4 (−1) 2 And complete the square for y (take half of the −4, square it, and add to both sides) (x 2 − 2x (−1) 2) (y 2



Show That The Circles X 2 Y 2 2x 8y 8 0 And X 2 Y 2 10x 2y 22 0 Touch Each Other Youtube



Find The Combined Equation Of Lines X Y 2 0 And 2 Math
Use binomial theorem ( a b) 2 = a 2 2 a b b 2 to expand ( x y) 2 x^ {2}2xyy^ {2}2\left (xy\right)\left (ax\right)\left (ax\right)^ {2} x 2 2 x y y 2 − 2 ( x y) ( a x) ( a x) 2 Use binomial theorem \left (pq\right)^ {2}=p^ {2}2pqq^ {2} to expand \left (ax\right)^ {2} (y^p)= y prime My work 2x 2(xy^p y) 8yy^p = 0 2x 2xy^p 2y 8yy^p = 0 2xy^p 8yy^p = 2y 2x factored out y^p and Algebra 1 Make an equation to represent the area of a square whose sides are given by the expression x y A



Ex 9 5 15 Class 12 Find Solution 2xy Y 2 2x 2 Dy Dx 0 When



What Is The Parametric Equation Of The Circle X 2 Y 2 2x 4y 4 0 Maths Introduction To Three Dimensional Geometry Meritnation Com



If X 2 Y 2 2y 15 Lambda 2x Y 9 0 Represents Family Of Circles For Different Values Of Lambda Then The Equation Of The Circle S Along These Circles Having Minimum Radius Is Are



If One Of The Diameters Of The Circle X 2 Y 2 2x 6y 6 0 Is A Chord Of Another Circle C Whose Center Is At 2 1 Then Its Radius Is



Evaluate The Iterated Integral By Converting To Polar Coordinates 2 0 Sqrt 2x X2 0 6 Sqrt X2 Y2 Dy Dx Studentshare



Solved Examine The Function F X Y 2x 2 2y 2 2x 4y Chegg Com



The Circle X 2 Y 2 2x 2y 1 0 Is Rolled Along The Positive Direction Of X Axis And Makes One Youtube



Let C 1 X 2 Y 2 2x 2y 0 And C 2 X 2 Y 2 2x 2y 0 Are Two Given Circles From A Mov Youtube



If Cos 1 X2 Y2 X2 Y2 Tan 1 A Prove That Dy Dx Y X Mathematics Topperlearning Com K6vhyqq



2xy Y 2 2x 2 Dy Dx 0 Y 2 When X



The Equations Of The Tangents Drawn From The Point 0 1 To The Circle X2 Y2 2x 4y 0 Are A 2x Y 1 0 X



Simplify 1 2x Y 2 X 2y Math Help Boards



15 2xy Y 2 Dx 2xy X 2 2x 2y 2 2xy 3 Dy 0 Homeworklib



Find The Points On The Curve X2 Y2 2x 3 0 At Which The Tangents Are Parallel To The X Axis Mathematics Shaalaa Com



1



Ordinary Differential Equations Solve 2x 3 2 Frac D 2y Dx 2 2x 3 Frac Dy Dx 12y 6x Mathematics Stack Exchange



Solution I Need Help Graphing X 2 Y 2 2x 2y 2 I Also Need To Find The Intercepts



How To Factorise X 2 2x Y 2 2y Quora



Chapter 10 Conic Sections Ppt Download



Equation The Equation Of Diameter Of A Circle X2 Y2 2x 4y 4 That Is Parallel To 3x 5y 4 Is 1 3x 5y



The Circle X 2 Y 2 2x 2y 1 0 Is Rotated About Its Point Of Contact With Y Axis Through The Angle Sarthaks Econnect Largest Online Education Community



Ex 9 4 3 V Simplify X Y 2x Y X 2y X Y Class 8



Najdite Vse Znacheniya A Pri Kazhdom Iz Kotoryh Sistema Uravnenij Imeet Bolee Dvuh Reshenie X 2 2x Y 2 4y 2 X 2y 5 2x Y A



4 X 2 2x Y 2 8 4 Example 6 Classify A Conic Classify The Conic Given By 4x 2 Y 2 8x 8 0 Then Graph The Equation Solution Note Ppt Download



1



The Equation Of The Circle Having The Center On The Line X 2y 3 0 And Passing Through The Points Of Intersection Of The Circles X 2 Y 2



Solved Help On That Course Hero



Factorise X 2 Y 2 2x 1



If Y 2x Is The Chord Of A Circle X 2 Y 2 10x 0 Find The Equation Of The Circle With The Chord Asdiameter Snapsolve



One End Of A Diameter Of The Circle X2 Y2 3x 5y 4



The Circle X2 Y2 2x 2y 1 0 Is Rolled Along The Positive Direction Of X Axis And Makes One Complete Roll Find Its Equation In New Position Mathematics Shaalaa Com



View Question What Is The Equation Of The Circle In General Form



Ex 6 3 19 Find Points On X2 Y2 2x 3 0 Tangents



Find The Points On The Curve X 2 Y 2 2x 3 0 At Which Tangent Is Parallel To X Axis Sarthaks Econnect Largest Online Education Community



Two Circles X 2 Y 2 2x 4y 0 And X 2 Y 2 8y 4 0 A Touch Each Other Externally Youtube



Solve The Following Systems Of Equations X Y 2 And 2x 2y 4 Brainly In



Prove That The Radio Of The Circles X 2 Y 2 1 X 2 Y 2 2x 6y 6 0 And X 2 Y 2 4x 12y 9 0 Are In Ap Mathematics Topperlearning Com Sq29gmm



Solved Match The Equation With Its Graph 2 X 2 Y 2 Chegg Com



1



If X2 Y2 2 Xy Find Dy Dx Mention Each And Every Step Mathematics Topperlearning Com Gwvwfskk



Solved Find The Local Extreme Value Of The Function F X Y Chegg Com



How To Find The Solution To The Equation Math X 2 Y 2 2x Dx 2ydy 0 Math That Satisfies Math Y 0 1 Math Quora



Solved Question 3 A Stationary Point Of F X Y X2 Xy Chegg Com



Example 6 Classify A Conic Ppt Video Online Download



Find The Area Of The Region Bounded By The Curve Y 2 2x And X 2 Y 2 4x



For The Points On The Circle X 2 Y 2 2x 2y 1 0 The Sum Of The Maximum And Minimum Values Of 4x 3y Is



Tentukan Luas Irisan Lingkaran X2 Y2 2x 6y 15 0 Dan X2 Y2 6y 1 0 Mas Dayat



X 2 Y 2 2x 8y 8 0 Mathskey Com



Use The Reduction Of Order Method To Solve The Following Problem Given One Of The Solution Y1 A X 2 1 Y 39 39 2xy 39 2y 0 Y1 X B 2x 1 Y 39 39 4 X 1 Y 39 4y 0 Y1 E 2x C X



Giải Hệ Phương Trinh Y 2 X 3 3x 2 2x Va X 2 Y 3 3y 2 2y Toan Học Lớp 10 Bai Tập Toan Học Lớp 10



Show That The Circle X2 Y2 2x 2y 1 0 And X2 Y2 6x 4y 3 0 Touch Each Other Externally Brainly In



At What Points On The Curve X 2 Y 2 2x 4y 1 0 The Tangents Are Parallel To The Y Axis Sarthaks Econnect Largest Online Education Community



File Y X 2 2x Svg Wikimedia Commons



If One Of The Diameters Of The Circle X2 Y2 2x 6y 6 0 Is A Chord To The Circle With Center 2 1 Then Radius Of Aieee Any Chapter Meritnation Com



Gcse Quadratic Simultaneous Equations Ppt Download



Solved Consider The Equation Below X 2 Y 2 Z 2 2x Chegg Com



How To Factor Math X 2 2x Y 2 2y Math Quora



Solved Find The Particular Solution Of Y 2x 2 Xy Y 2 Dx X 2 2x 1 Dy 0 Course Hero



Factorise X 2 Y 2 2x 4y 1 4 Brainly In



Find The Minimum Value Of 2x 2 2xy Y 2 2x 2y 3 Msrblog



I Love Mathematics All I Need Is X2 Y2 1 3 X2y3 0 Facebook



Math 432 Hw 2 5 Solutions



4x 4y 4 2x 2y 2 4x 4y 4 4x 4y 4 4x 2y 4 4x 4 Gauthmath



Otvety Mail Ru Kak Vyglyadit Grafik X 2 Y 2 2x



X 2 2xy Y 2 X 2 Y 2 2x 2 Xy Y 2 X 2 Xy 2y 2 Youtube



Lingkaran X2 Y2 2x 4y 0 Ditranslasi Oleh T 5 2 A Tentukan Persamaan Bayangannya Mas Dayat



Find The Radical Centre Of The Three Circles X 2 Y 2 4x 6y 5 0 X 2 Y 2 2x 4y 1 0 And X 2 Y 2 6x 2y 0



Ordinary Differential Equations Solve Y 2 2x 2y Dx 2x 3 Xy Dy 0 Mathematics Stack Exchange



How Do You Find The Center And Radius Of The Circle X 2 Y 2 2x 3 0 Socratic



Let A Be The Centre Of The Circle X 2 Y 2 2x 4y 0 Suppose That The Tangents At The Points B 1 7 Sarthaks Econnect Largest Online Education Community



Suppose Ax By C 0 Where A B C Are In A P Be Normal To A Family Of Circles The Equation Of The Circle Of The Family



Solution What Are The Coordinates Of The Center Of The Curve X 2 Y 2 2x 4y 31 0



How Do You Convert X 2 Y 2 2x 0 To Polar Form Socratic



Solution The Equation Is X Squared Plus Y Squared Minus 2 X Minus 4 Y Minus Equals 0x2 Y2 Amp 8722 2x Amp 8722 4y Amp 8722 0 Amp 03 Find The Center Radius And Intercepts


0 件のコメント:
コメントを投稿